作者zwchih (風言風語)
標題[閒聊] 2023年10月全國人口資訊
時間2023-11-13 19:23:26
https://i.imgur.com/wZpQmKf.jpg
https://i.imgur.com/8nJr1u3.jpg
https://i.imgur.com/S95c26Q.jpg

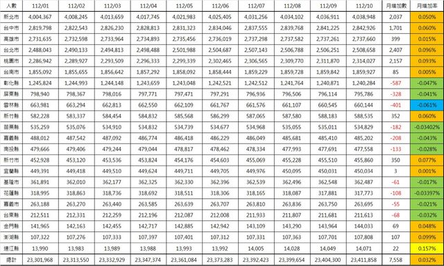
2023年10月全國人口資訊出爐
人口:23,411,858人(+7,558, +0.032%)
戶數:9,226,306戶 (+5,660, +0.061%)
戶量:2.538(-0.029%)
(人口)
減少組:
1. 雲林縣:-401(-0.061%)
2. 彰化縣:-587(-0.047%) - 量最多
3. 嘉義縣:-208(-0.043%)
4. 屏東縣:-328(-0.041%)
5. 苗栗縣:-182(-0.03402%)
6. 花蓮縣:-108(-0.03397%)
7. 台東縣:-68(-0.032%)
8. 南投縣:-133(-0.028%)
9. 嘉義市:-55(-0.021%)
10. 基隆市:-61(-0.017%)
增加組:
1. 連江縣:+22(+0.157%)
2. 澎湖縣:+107(+0.099%)
3. 台北市:+2,407(+0.096%) - 量最多
4. 桃園市:+2,157(+0.093%)
5. 新竹市:+350(+0.077%)
6. 台中市:+1,701(+0.0599%)
7. 新竹縣:+352(+0.0598%)
8. 新北市:+2,037(+0.050%)
9. 金門縣:+69(+0.048%)
10. 高雄市:+399(+0.015%)
11. 台南市:+85(+0.005%)
12. 宜蘭縣:+3(+0.001%)
(戶數)
減少組:
1. 連江縣:-1(-0.027%)
2. 台東縣:-9(-0.011%) - 量最多
增加組:
1. 桃園市:+1,341(+0.149%)
2. 台中市:+1,203(+0.1140%)
3. 新竹縣:+250(+0.1136%)
4. 新竹市:+197(+0.110%)
5. 澎湖縣:+43(+0.100%)
6. 新北市:+1,146(+0.069%)
7. 宜蘭縣:+105(+0.059%)
8. 金門縣:+23(+0.053%)
9. 台南市:+329(+0.045%)
10. 台北市:+402(+0.038%)
11. 南投縣:+62(+0.034%)
12. 苗栗縣:+65(+0.033%)
13. 屏東縣:+86(+0.029%)
14. 基隆市:+43(+0.027%)
15. 雲林縣:+55(+0.022%)
16. 彰化縣:+83(+0.020%)
17. 嘉義縣:+33(+0.018%)
18. 高雄市:+186(+0.016%)
19. 嘉義市:+9(+0.009%)
20. 花蓮縣:+9(+0.007%)
(戶量)
增加組:
1. 連江縣:+0.184%
2. 台北市:+0.058%
減少組:
1. 雲林縣:-0.083%
2. 屏東縣:-0.070%
3. 彰化縣:-0.068%
4. 苗栗縣:-0.067%
5. 南投縣:-0.062%
6. 嘉義縣:-0.061%
7. 宜蘭縣:-0.058%
8. 桃園市:-0.056%
9. 台中市:-0.0540%
10. 新竹市:-0.0537%
11. 基隆市:-0.044%
12. 花蓮縣:-0.0410%
13. 台南市:-0.0407%
14. 新竹市:-0.033%
15. 嘉義市:-0.030%
16. 台東縣:-0.021%
17. 新北市:-0.018%
18. 金門縣:-0.005%
19. 高雄市:-0.002%
20. 澎湖縣:-0.0003%
--
※ 發信站: 批踢踢實業坊(pttsite.org.tw), 來自: 114.25.191.147 (臺灣)
※ 文章網址: https://pttsite.org.tw/home-sale/M.1699874609.A.FA6
推 g11121s: 台南增加!天啊!知道台南地有多大嗎 11/13 19:27
推 dennistao: 不要再來台中擠了... 11/13 20:00
推 a5292710: 講台南是有事嗎 台南增加什麼了 11/13 20:09
推 F93935: 神經病 自己喊自己的縣市 11/13 20:10
推 fbiciamib123: 天哪台南人房子不過住了 11/13 20:20
推 ludi: 有人包養過洋鬼子嗎 11/13 20:20 推 backpacker18: 台北人口還在增加? 11/13 20:47
→ abyssa1: 復籍動作比較慢的吧 11/13 20:59
推 mark0204: 11/13 21:06
推 slg: 講台南那個帳號就一天到晚吹九份子啊!別太認真看待 11/13 21:16
推 countryair: 台北應該很多長期在海外被除籍 最近回來復籍了 11/14 00:30
推 peernut: 有錢人為啥都想包養 11/14 00:30 推 topaaron12: 台中很擠了 別來了 11/14 07:23
→ labell: 桃園要預算中壢好玩綠色市長 11/14 08:55
推 lichun1228: 沒人想去台中啦 不過是中部低端人口過去的 11/14 09:07
推 timeaftime: 樓上打狗仔崩潰 11/14 11:38
推 xikimi: 有人被洋鬼子包養過嗎 11/14 11:39 → timeaftime: BY內政部 11/14 11:39
→ timeaftime: 根據小英內政部: 11/14 11:39
→ timeaftime: 不只磁吸中部 連其他六都也全往台中淨遷入 11/14 11:40
→ timeaftime: 反觀高雄 11/14 11:40
推 Avero: 到底要多有錢才會想包養 11/14 11:40 → timeaftime: 高雄對任何一都 高雄都是淨遷出的狀態 11/14 11:41
→ timeaftime: 小英內政部認證 11/14 11:41
推 lichun1228: 吊一下人口哥就氣噗噗 哈哈 11/14 11:45
推 timeaftime: 打狗仔就繼續被內政部跟人民打臉 11/14 11:51
→ timeaftime: 科科 11/14 11:51
推 ejoz: 閨蜜上包養網還推薦我... 11/14 11:51 推 a9940597: 綠色已經放棄的台中,人一直增加 11/14 14:14
→ lichun1228: 人口哥反串真是始終如一 敬業阿 11/14 16:21